技術士第一次試験専門科目の解答方法は35問出題される中から25問を選択し解答します。(2025年時点) 令和6年度分の技術士第一次試験、機械部門Ⅲ-11解答例を示します。問題文は技術士会のHPからダウンロードしたものを記載しています。
Ⅲ-11問題文

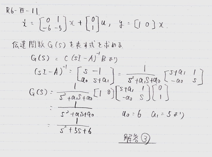
Ⅲ-11解答例
この問題は、状態方程式と出力方程式から求まる伝達関数を表す式を求める問題です。こういた問題に慣れていないので答えを出すのが難しいです。一目見て分からない場合は、選択から外すことも考えましょう。解答は③となります。 計算式等は勉強ノートを参照ください。
⇒勉強ノートはこちら※字が汚くてすみません
目で見るだけでは、効率が悪いので自分の手で解いてみる(書いてみる)ことをオススメします。
参考文献
・機械工学便覧DVD-ROM版 β6-2 1・1・2 状態方程式

