技術士第一次試験専門科目の解答方法は35問出題される中から25問を選択し解答します。(2025年時点) 令和6年度分の技術士第一次試験、機械部門Ⅲ-10解答例を示します。問題文は技術士会のHPからダウンロードしたものを記載しています。
Ⅲ-10問題文

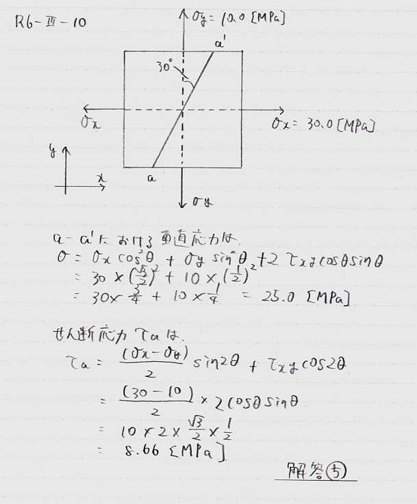
Ⅲ-10解答例
この問題は、x,y方向に応力を受ける時の傾斜面に働く垂直応力とせん断応力を求める問題です。それぞれ公式がありますので数値を当てはめて答えを求めましょう。三角関数の取り扱いも覚えておいて下さい。解答は⑤となります。 計算式等は勉強ノートを参照ください。
⇒勉強ノートはこちら※字が汚くてすみません
目で見るだけでは、効率が悪いので自分の手で解いてみる(書いてみる)ことをオススメします。
参考文献
・機械工学便覧DVD-ROM版 α3-2 1・3 応力の定義

