技術士第一次試験専門科目の解答方法は35問出題される中から25問を選択し解答します。(2025年時点) 令和6年度分の技術士第一次試験、機械部門Ⅲ-27解答例を示します。問題文は技術士会のHPからダウンロードしたものを記載しています。
Ⅲ-27問題文

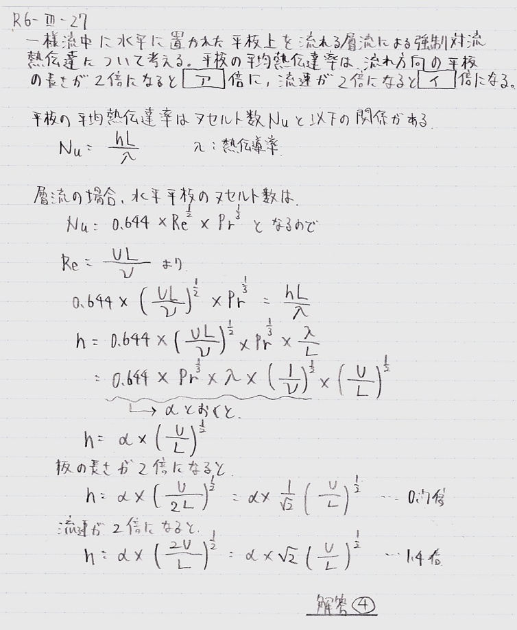
Ⅲ-27解答例
この問題は、平板上を流れる層流による強制対流熱伝達に関する問題です。平板の平均熱伝達率は、Nu(ヌセルト)数と関連がありますので、代表長さと流速の関係式に変換していけばそれぞれが2倍になった時の変化を求めることが出来ます。解答は④となります。 計算式等は勉強ノートを参照ください。
⇒勉強ノートはこちら※字が汚くてすみません
目で見るだけでは、効率が悪いので自分の手で解いてみる(書いてみる)ことをオススメします。
参考文献
・機械工学便覧DVD-ROM版 α5-85 4・7 強制対流層流熱伝達

