技術士第一次試験専門科目の解答方法は35問出題される中から25問を選択し解答します。(2025年時点) 令和6年度分の技術士第一次試験、機械部門Ⅲ-24解答例を示します。問題文は技術士会のHPからダウンロードしたものを記載しています。
Ⅲ-24問題文

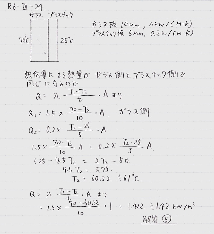
Ⅲ-24解答例
この問題は、厚さの異なるガラス板とプラスチック板が密着している時に両者の界面温度と通過熱量を求める問題です。2物体間の熱の移動なので熱伝導を考えれば良いです。ガラス側とプラスチック側で熱量が等しくなることを条件に界面温度を求めることが出来ます。解答は⑤となります。 計算式等は勉強ノートを参照ください。
⇒勉強ノートはこちら※字が汚くてすみません
目で見るだけでは、効率が悪いので自分の手で解いてみる(書いてみる)ことをオススメします。
参考文献
・機械工学便覧DVD-ROM版 α5-72 4・2 熱伝導の基本

